ΕΟΦ: Προσοχή – Όλα τα χάπια για το στομάχι που ανακαλούνται



October 1, 2019· Ώρα δημοσίευσης: 11:15 am · Τελευταία τροποποίηση: 11:15 am

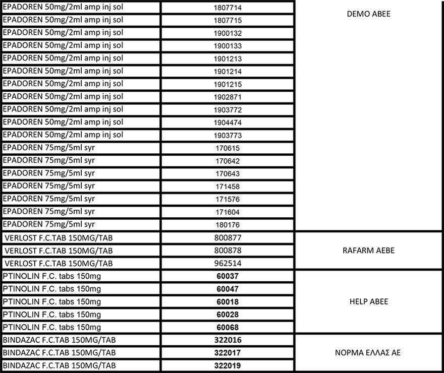
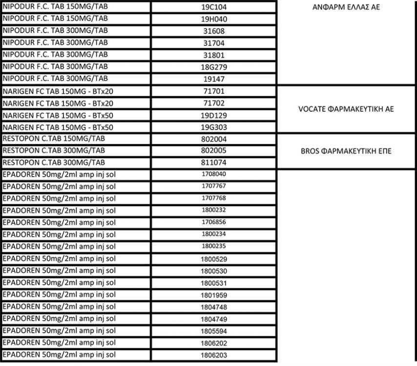
Ακόμη μία ανάκληση φαρμάκου για το στομάχι ανακοίνωσε ο Εθνικός Οργανισμός Φαρμάκων (ΕΟΦ) στο πλαίσιο των ελέγχων για τη δυνητικά καρκινογόνο πρόσμιξη N νιτροζοδιμεθυλαμίνη (NDMA) που εντοπίστηκε σε σκευάσματα ρανιτιδίνης.

Με σημερινή απόφαση του ΕΟΦ ανακαλούνται παρτίδες των φαρμακευτικών προϊόντων που περιέχουν τη δραστική ουσία ρανιτιδίνη του παραγωγού UNION QUIMICO PHARMACEUTICO (UQUIFA).

Αναλυτικά τα σκευάσματα που ανακαλούνται αναγράφονται στον ακόλουθο πίνακα:

Διαβάστε επίσης στη Νέα Σελίδα: Πέτρος Τατσόπουλος: Εσπευσμένα στο χειρουργείο

Προηγούμενο άρθρο Πέτσας: Ο πρωθυπουργός ανέλαβε να επανασυστήσει την Ελλάδα στον κόσμο
Επόμενο άρθρο Mega: Τεράστια έκπληξη – Έρχονται τρία νέα κανάλια